聯系我們
- 上海耐創測試技術有限公司
- 聯系人:陳工
- 電話:021-39197548
- 郵箱:zhujing@forcechina.com?
- 地址:上海市嘉定區馬陸鎮寶安公路2999弄東方慧谷50號2層

GNR X射線熒光光譜儀
文章出處:未知人氣:發表時間:2017-09-11 13:52:04
GNR X射線熒光光譜儀


-
XP應用領域
手持式光譜儀,不銹鋼、中低合金鋼、工具鋼、高錳鋼的現場快速檢測
ROHS分析
鍍層測厚的檢測
小樣品、特殊尺寸樣品及線材的檢測
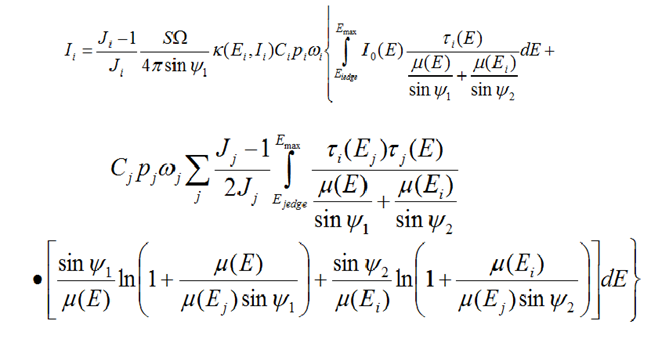
謝爾曼基本參數法GNR最新推出的謝爾曼基本參數法可以精確計算各類樣品中每個元素的譜圖變化,做到最精密的校準。 謝爾曼基本參數法是通過大量測試數據,擬合元素之間的關聯,從而用數學算法計算出樣品結果。謝爾曼基本參數法算法方程式: -














滬公網安備 31011402003414號